近期,44118太阳成城集团耿立升教授、陆俊旭副教授团队在《Science Bulletin》上发表题为“Femtoscopy can tell whether Zc(3900) and Zcs(3985) are resonances, virtual states, or bound states”的研究论文。该研究首次提出,利用费米镜(femtoscopy)技术可有效判别四夸克态候选粒子Zc(3900)和Zcs(3985)在对应介子阈值附近的具体性质——是共振态、虚态还是束缚态,从而为深入探索量子色动力学的非微扰特性提供新途径。
研究背景
强相互作用是自然界四种基本力之一,贡献了可见物质的主要质量。其基本理论——量子色动力学(QCD)描述了夸克和胶子的相互作用,但由于色禁闭现象,实验中只能观测到无色强子。传统夸克模型将强子划分为介子(正反夸克对)和重子(三夸克组合)。然而,自2003年起,实验上陆续发现一系列难以纳入传统模型的“奇特强子态”,为研究强相互作用开辟了新窗口。
2013年,BESIII与Belle合作组在e+e−→J/ψπ+π−过程中发现隐粲四夸克态候选者Zc(3900)±。2020年,BESIII合作组在e+e−→K+(D∗0Ds−+D0Ds∗−)过程中首次报道了含奇异数的隐粲四夸克态候选Zcs(3985)−。两者的夸克组分分别为ccˉduˉ/ccˉudˉ和ccˉsuˉ,后者常被视为前者的奇异数伙伴。尽管已有诸多理论探讨,关于Zc(3900)和Zcs(3985)的本质——究竟是在D0D∗−或D0Ds∗−阈值附近的共振态、虚态还是束缚态——仍存在显著争议。
成果简介
研究团队首次提出,在大型强子对撞机实验中,可通过费米镜技术测量D0D∗−与D0Ds∗−对的动量关联函数,以明确区分这三种物理情形。基于有效场论和Koonin-Pratt理论框架,作者计算发现:在低动量区域,不同情形下的关联函数呈现出明显不同的动量依赖行为,尤其在质子-质子对撞实验中差异更为显著;而在较高动量区域,共振态情况下的关联函数还展现出非平庸结构,与散射相移密切相关。
研究进一步指出,传统不变质量谱在阈值附近受相空间压低影响,难以有效分辨近阈状态。因此,作者建议将谱学分析与费米镜技术结合,为未来奇特强子态研究提供新策略。该工作获得国家自然科学基金、国家重点研发计划及中国博士后科学基金等项目资助。
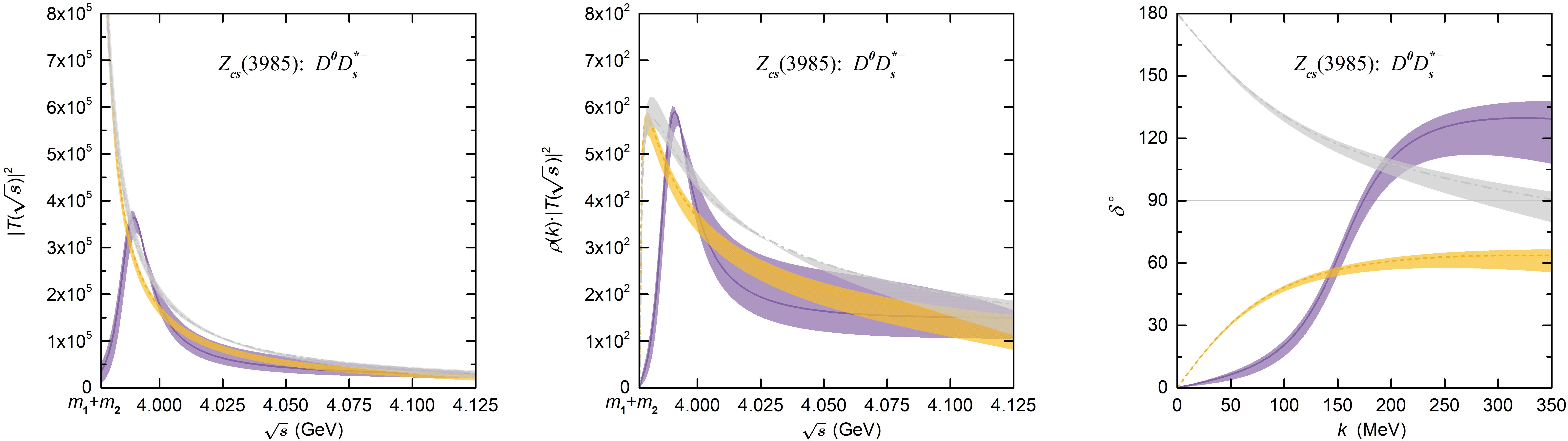
图文速览


图1:展示了在共振态、虚态和束缚态三种情况下,D0D∗−(上)与D0Ds∗−(下)的散射T矩阵、不变质量谱和散射相移随能量或动量的变化。


图2:比较了在不同源尺寸和三种物理情形下,D0D∗−(上)与D0Ds∗− (下)动量关联函数随相对动量的变化。
作者简介
刘志伟(第一作者):44118太阳成城集团“卓越百人”博士后,研究方向为超核物理与强子物理。
陆俊旭(通讯作者):44118太阳成城集团副教授,专注于强子-强子相互作用与奇特强子态研究。
刘明珠:兰州大学青年研究员,主要从事强子物理理论研究。
耿立升(通讯作者):44118太阳成城集团二级教授、博士生导师,研究方向涵盖理论物理与医学物理。
Science Bulletin是由中国科学院和国家自然科学基金委员会共同主办的自然科学综合性英文期刊,2025年影响因子达21.1,属于JCR Q1和中国科学院1区Top期刊,全球综合类期刊排名第6。