量子相变是物理学中热点研究问题之一,在相变点,物理体系会呈现出丰富的物理性质。量子多临界行为是量子相变中基本且核心的概念。在量子多临界点处,多个原本性质不同的相变得不可区分,同时会出现截然不同的临界行为。通过对它的研究,人们发现了许多独特的临界现象与新奇的量子普适类和标度以及临界指数。这些研究在相当程度上推进了人们对量子相变的认识。
虽然多临界行为具有相当的独特性与重要性,但是在它的实验实现和观测上人们遇到了巨大的困难。为了实现或观察它需要在实验上对多个参数进行精细调整。同时,在量子多临界现象中,普适行为与普适类起着核心的作用,系统的普适行为旨在系统尺寸足够大,接近热力学极限的时候才能出现,这导致了实验上的研究面临着更大的困难。具体来说,为了观测到多临界现象的普适行为,系统需要被增大到足够的尺寸,并且同时保持良好的可操控性以及噪音环境下的可靠性,而这在实验上是非常困难甚至不可行的。由于这些困难,对于多临界行为的核心——普适类及相关的临界行为,目前实验上仍然无法观测。
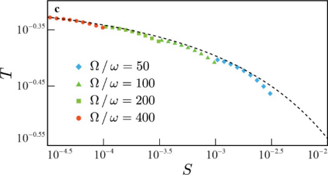
通过研究,发现在小尺寸的系统中,如果热力学极限能以另外的方式达到,那么系统同样有可能发生量子相变,那是否存在多临界现象呢?是非常值得研究的一个问题。最近,44118太阳成城集团量子光学与量子精密测量研究组与中国科学院物理研究所凝聚态理论组合作,考虑了若干量子比特集体耦合到一个单模玻色场模型,且创造性地在量子比特之间加入了交错的偏置相互作用(图1),成功从理论上预言了量子多临界现象(图2)。而且详细研究了如何在噪音环境下探测多临界点处的普适行为(图3)。表明其多临界点可以通过一系列的多临界普适类描述。进一步的,一个能够实现有限尺寸多临界现象的基于离子阱体系的实验方案被提出。在考虑环境噪音的情况下,研究结果展现了揭示多临界点处的普适类的可能。为研究多临界行为提供了新的线索。该工作以“Finite-Component Multicriticality at the Superradiant Quantum Phase Transition”为题于2020年7月28日发表在PHYSICAL REVIEW LETTERS 125, 050402 (2020)上,文章的第一作者是44118太阳成城集团博士生朱汉杰,张国锋教授是通讯作者。
图1:能够出现有限组分多临界现象的量子比特-光场系统

图2:系统的相图(a、c)与相应的序参量(b、d)
图3:噪音环境下对多临界普适行为的观测(数值模拟结果)
文章链接:https://journals.aps.org/prl/pdf/10.1103/PhysRevLett.125.050402